2. Ecuación de momento lineal o cantidad de movimiento
2. Ecuación de momento lineal o cantidad de movimiento

Leyes de Newton y conservación de la cantidad de movimiento
Las leyes de Newton son relaciones entre los movimientos de los cuerpos y las fuerzas que actúan sobre ellos. La primera Ley de Newton expresa que un cuerpo en reposo permanece en reposo y un cuerpo en movimiento sigue en movimiento a la misma velocidad en una trayectoria recta cuando la fuerza neta que actúa sobre él es cero. Por lo tanto, un cuerpo tiende a mantener su estado de inercia. La segunda Ley de Newton expresa que la aceleración de un cuerpo es proporcional a la fuerza neta que actúa sobre él y es inversamente proporcional a su masa. La tercera Ley de Newton expresa que cuando un cuerpo ejerce una fuerza sobre un segundo cuerpo, este último ejerce una fuerza igual y opuesta sobre el primero. Por lo tanto, la dirección de una fuerza de reacción depende del cuerpo tomado como sistema.
Para un cuerpo rígido de masa m, la segunda Ley de Newton se expresa como:
donde F es la fuerza neta que actúa sobre el cuerpo y a es la aceleración de ese cuerpo bajo la influencia de F. El producto de la masa y de la velocidad de un cuerpo se llama momento lineal o cantidad de movimiento de ese cuerpo. La cantidad de movimiento de un cuerpo rígido de masa m que se avanza con una velocidad V es MV. (la → que está arriba de las magnitudes como F ,a y V indica que es un vector unidireccional)
Por lo tanto, en la mecánica de fluidos suele hacerse referencia a la segunda ley de Newton como la ecuación del momento lineal.
Tanto la densidad como la velocidad pueden cambiar de punto a punto dentro del sistema, la segunda Ley de Newton se puede expresar de manera más general como:
Por lo tanto, la segunda Ley de Newton puede enunciarse como la suma de todas las fuerzas externas que actúan sobre un sistema es igual a la razón de cambio respecto al tiempo del momento lineal de ese sistema. Este enunciado es válido para un sistema de coordenadas que esté en reposo o se mueva con velocidad constante, conocido como sistema inercial de coordenadas o marco inercial de referencia.
La ecuación anterior es para una masa dada de un sólido y es de uso limitado en la mecánica de fluidos, ya que la mayoría de los sistemas de flujo se analizan con el uso de volúmenes de control. El teorema del transporte de Reynolds proporciona herramientas necesarias para pasar de la formulación del sistema a la de volumen de control.
Fuerzas que actúan sobre un volumen de control
Éstas actúan sobre un volumen de control y constan de fuerzas del cuerpo, que actúan en todo el cuerpo de ese volumen (como la fuerza de gravedad, eléctrica y magnética), y las fuerzas superficiales, que actúan sobre la superficie de control (como la fuerza de presión y la viscosa, así como las fuerzas de reacción en los puntos de contacto).
En el análisis del volumen de control, la suma de todas las fuerzas que actúan sobre el volumen de control en un instante en particular se representa por la sumatoria de fuerzas y se expresa de la siguiente manera.
Las fuerzas del cuerpo actúan sobre cada porción volumétrica del volumen de control. En la figura 2.2 se muestra la fuerza del cuerpo que actúa sobre un elemento diferencial de fluido de volumen dV dentro del volumen de control y se debe efectuar una integral de volumen para considerar la fuerza neta del cuerpo sobre el volumen completo. Las fuerzas superficiales actúan sobre cada porción de la superficie de control.
La fuerza diferencial del cuerpo dF (cuerpo) = dF (Gravedad) que actúa sobre el pequeño elemento de fluido es sencillamente
Integrando la ecuación 2.4 debido a que la gravedad es la única fuerza del cuerpo que se está considerando, se puede ver en la siguiente ecuación
Las fórmulas superficiales no son tan sencillas de analizar ya que constan tanto de componentes normales como de tangenciales.
El producto punto de un tensor de segundo orden y un vector da lugar a un segundo vector; a menudo esta operación se conoce como producto contraído o producto interior de un tensor y un vector. En el caso presente resulta que el producto interior del tensor de esfuerzos (Sigma ij) y el vector normal unitario hacia fuera n de un elemento diferencial de superficie da por resultado un vector cuya magnitud es la fuerza por unidad de área que actúa sobre ese elemento y cuya dirección es la de la fuerza superficial. De forma matemática se escribe
Si se integra sobre toda la superficie de control
Si sustituimos la ec. 2.5 y la ec. 2.7 en la ec. 2.3 da como resultado
Esta ecuación es bastante útil en la deducción de la forma diferencial de conservación del momento lineal
Una selección cuidadosa del volumen de control permite escribir la fuerza total que actúa sobre el mismo, como la suma de cantidades de las que se dispone con más facilidad, como la fuerza de peso, de presión y de reacción.
El primer término del segundo miembro de la ecuación 2.9 es la fuerza de peso del cuerpo, supuesto que la gravedad es la única fuerza del cuerpo que se está considerando.
Los otros tres términos se combinan para formar la fuerza neta superficial; son la fuerza de presión, la fuerza viscosa y "otras" fuerzas que actúan sobre la superficie de control.
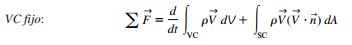
Para un volumen de control fijo (no hay movimiento ni deformación del volumen de control), Vr=V (Vr= V-Vsc es la velocidad del fluido con relación a la superficie de control ) y la ecuacion de momento lineal queda
Note que la ecuación de la cantidad de movimiento es una ecuación vectorial y, donde, cada término debe tratarse como un vector.

